
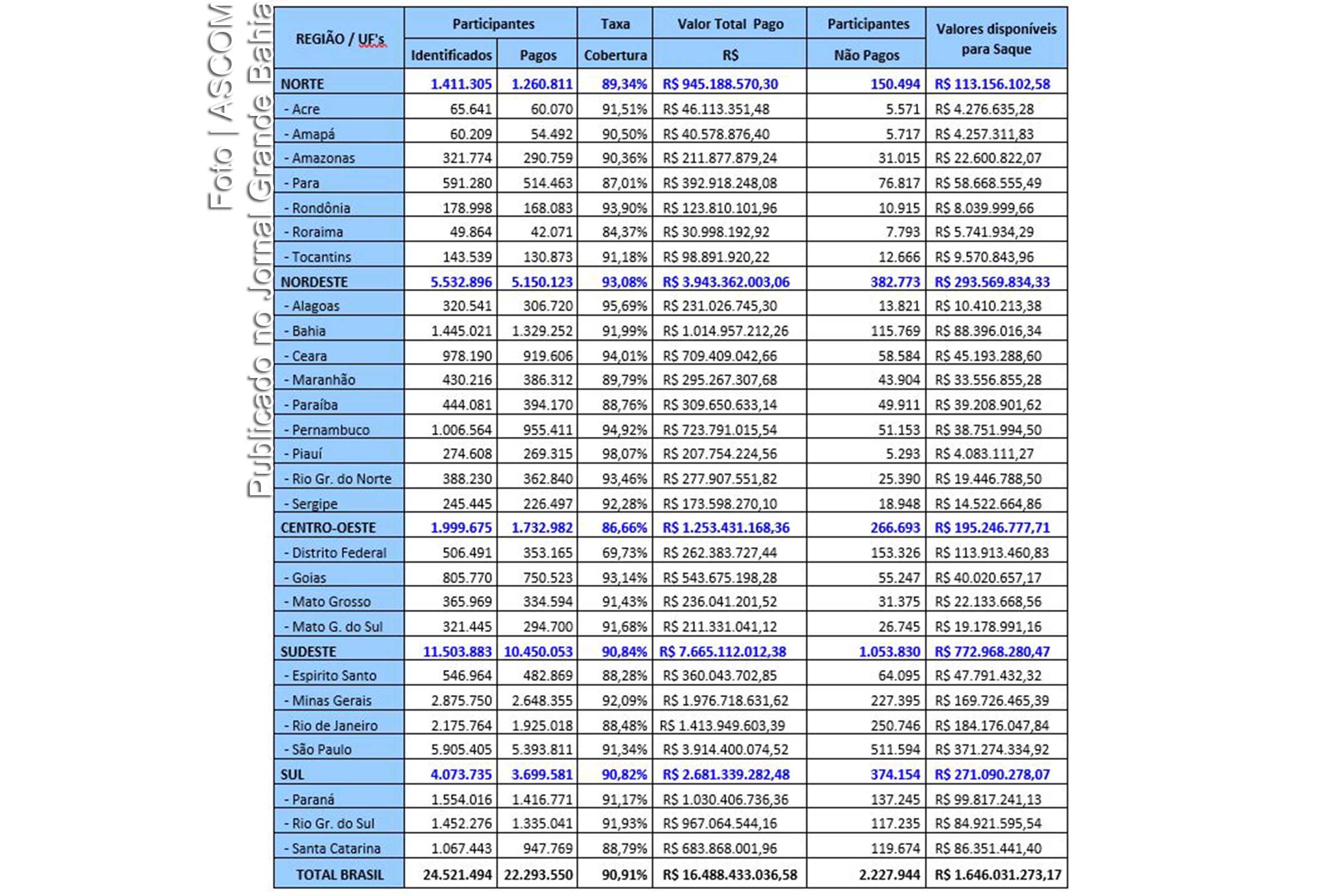
Termina no próximo dia 29 de junho de 2018 o prazo para os trabalhadores com direito ao Abono Salarial ano-base 2016 sacar o recurso, que pode chegar a um salário mínimo (R$ 954). Até o final de maio, 2,22 milhões de trabalhadores não haviam sacado o valor a que tinham direito (veja tabela abaixo).
Dentre as regiões brasileiras, a Nordeste e a Sudeste acumulam a maior quantidade de pessoas que ainda não buscaram os recursos. Caso o dinheiro não seja retirado pelos beneficiários, o valor vai para o Fundo de Amparo ao Trabalhador (FAT) e o trabalhador só poderá sacar o abono do ano seguinte.
O ministro do Trabalho, Helton Yomura, lembra que o FAT beneficia os trabalhadores brasileiros por meio do Seguro-Desemprego e também pelo Abono Salarial, mas que os beneficiários não podem deixar de pesquisar se têm direito e realizar o saque.
“Mesmo que o FAT seja uma ferramenta dos trabalhadores, o recurso do Abono Salarial ano-base 2016 está disponível neste momento e pode auxiliar na renda das famílias, dando um fôlego para quem não está com as contas em dia”, afirma Yomura.
O Abono Salarial ano-base 2016 começou a ser pago em 27 de julho de 2017. Desde então, 22,2 milhões de trabalhadores foram pagos em todo o Brasil, de acordo com a última atualização. Os valores sacados atingiram R$ 16,4 bilhões. Ainda há R$ 1,6 bilhão à disposição dos trabalhadores.
Quem tem direito
Para ter direito ao Abono Salarial do PIS/Pasep é necessário ter trabalhado formalmente por pelo menos um mês em 2016 com remuneração média de até dois salários mínimos. Além disso, o trabalhador tinha de estar inscrito no PIS/Pasep há pelo menos cinco anos e ter tido seus dados informados corretamente pelo empregador na Relação Anual de Informações Sociais (Rais).
De acordo com o chefe da divisão do Abono Salarial do Ministério do Trabalho, Márcio Ubiratan Brito, a quantia que cada trabalhador tem para receber é proporcional ao número de meses trabalhados formalmente no ano-base e varia de R$ 80 a R$ 954.
Quem trabalhou durante todo o ano recebe o valor cheio. Quem trabalhou por apenas 30 dias recebe o valor mínimo. “Se a pessoa trabalhou um mês, recebe 1/12 do valor, se trabalhou dois meses, 2/12, e assim sucessivamente”, explica.
Os empregados da iniciativa privada, vinculados ao PIS, sacam o dinheiro na Caixa. O banco disponibiliza uma página (https://servicossociais.caixa.gov.br/internet.do?segmento=CIDADAO01) para que o trabalhador consulte se tem direito a receber o valor. Para isso, é preciso informar o número do PIS (geralmente registrado na carteira de trabalho) e digitar a senha. Quem não tem senha, pode cadastra uma na página de consulta.
Para os funcionários públicos, a referência é o Banco do Brasil. O banco disponibiliza um aplicativo (http://www.bb.com.br/pbb/pagina-inicial/setor-publico/governo-federal/gestao/gestao-de-recursos/pagamento-de-ordens-bancarias,-salarios-e-beneficios/pasep/aplicativo-bb-pasep#/) que precisa ser baixado e instalado para que o trabalhador consulte se tem direito e o valor do benefício.









